
随着人工智能和高性能计算的爆发式增长,数据中心芯片热设计功耗(TDP)不断攀升(如NVIDIA H800 GPU达700W),传统风冷甚至部分水冷技术已逼近散热极限。芯片产生的热量主要通过两条路径传递:经引脚至PCB板扩散(热对流/辐射),或经封装外壳、界面材料至散热器(冷媒对流换热)。面对高热流密度挑战,微通道相变冷却技术凭借其高效、紧凑的特性,成为数据中心热管理的破局关键。








祥博传热深耕此领域,其技术方案聚焦四大核心要素的协同优化:
-
创新流道结构设计:
突破传统平行流道,开发仿生“叶脉”、“雪花”、“蜂窝”等拓扑流道结构,显著增大换热面积、优化流体分布,强化沸腾换热效率。
-
工质与流量精准匹配:
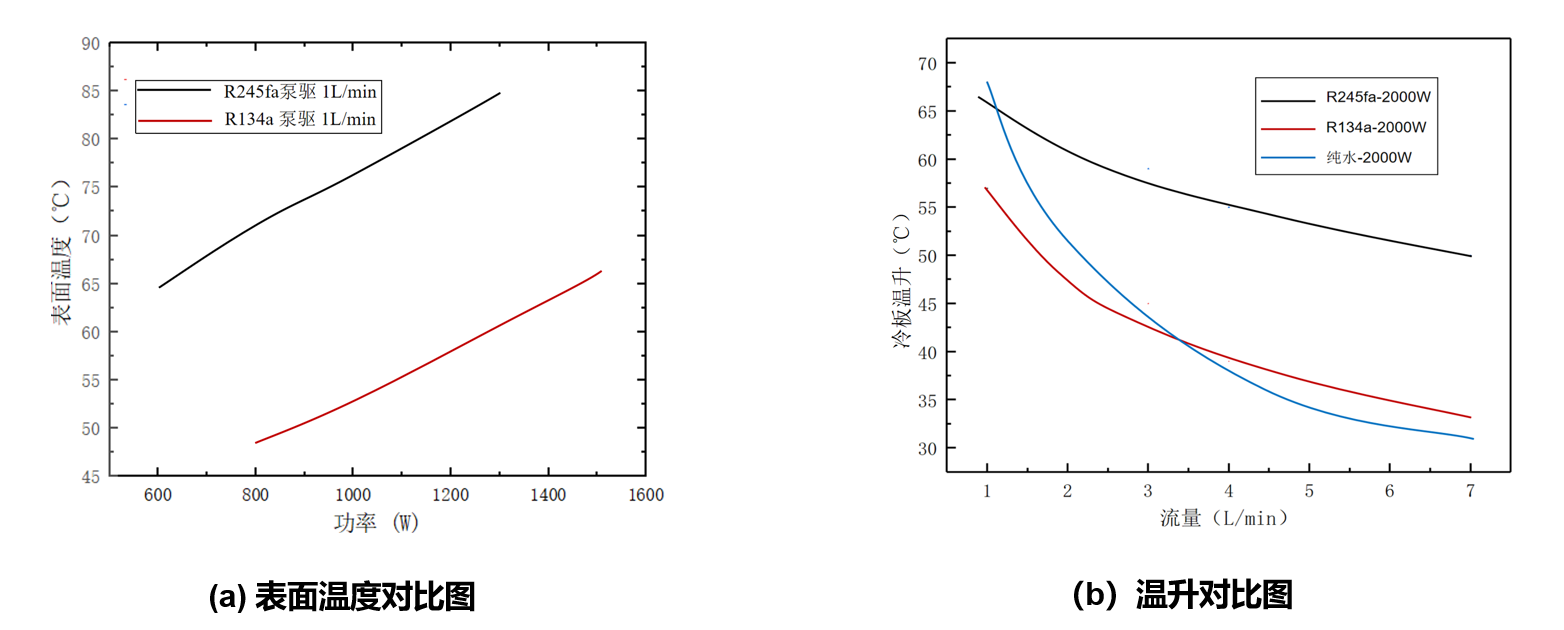
研究揭示制冷剂种类(R134a vs R245fa vs 水)与流量的动态关系:-
低流量优势显著: 在流量<1.5L/min时,R134a相变冷却的冷板温升比水冷降低16%。

-
最佳干度控制: 流量增加会降低含气率(干度),抑制沸腾效果。R134a在测试范围内表现优于R245fa,但流量过高时相变冷却效率可能反逊于水冷(对流主导)。

-
-
热源功率适应性:
换热系数随功率增加而提升,但需规避临界热流密度(CHF)。超过CHF后,气泡覆盖表面抑制换热,导致冷板温度骤升。祥博技术确保在功率动态变化下维持安全高效运行。
-
强化表面特性:
应用特殊微结构或金属多孔涂层(如扩散钎焊金属丝网[2]、多孔泡沫[4])作为汽化核心,有效促进气泡成核与脱离,大幅提升沸腾换热系数。
祥博传热的微通道相变冷却技术,通过其在低流量下的卓越性能、对仿生流道和强化表面的深入研究,为解决AI算力芯片的“发热危机”提供了切实可行的“中国方案”。随着技术的持续迭代和规模化应用,以相变冷却为代表的新型液冷技术,必将成为支撑未来绿色低碳数据中心的核心基石,引领数据中心热管理向超高效率、极致紧凑和显著节能(PUE优化)方向演进!

11月6日,由艾邦算力资源平台主办的“AI算力服务器液冷技术产业发展论坛”将在深圳召开。届时,祥博传热科技股份有限公司 研发总监 曾博士 将带来液冷技术相关演讲分享,欢迎产业链同行莅临现场,共同交流!
来源:祥博传热
https://mp.weixin.qq.com/s/s3-GayxjR3N6mI6vuv4fPg?scene=1&click_id=2
视频资讯:
点击观看视频,欢迎关注~

活动推荐:

AI算力服务器液冷技术产业发展论坛(11月6日 深圳)

更多议题征集中,创新演讲及赞助请联系:Elaine:13418617872(同微信)
方式1:请加微信并发名片报名
电话:Elaine:13418617872(同微信)
邮箱:ab052@aibang.com

扫码添加微信,咨询会议详情
注意:每位参会者均需提供信息
方式2:长按二维码扫码在线登记报名

或者复制网址到浏览器后,微信注册报名:
https://www.aibang360.com/m/100274?ref=172672
|
姓名 |
公司 |
职位 |
|
唐** |
中国联通国际有限公司 |
AIDC总监 |
|
李** |
中国联通国际有限公司 |
产品与解决方案中心售前工程师 |
|
黄** |
华为 |
结构材料工程师 |
|
/ |
富士康 |
工程师 |
|
/ |
富士康 |
品牌 |
|
/ |
富士康 |
工程师 |
|
李** |
深圳市同泰怡信息技术有限公司 |
华南区负责人 |
|
邵** |
浪潮信息产业股份有限公司 |
工程师 |
|
何** |
新华三集团 |
解决方案架构师 |
|
彭** |
新华三技术有限公司 |
深圳商业技术部负责人 |
|
胡** |
杭州云酷智能科技有限公司 |
市场品牌部部长 |
|
张** |
杭州云酷智能科技有限公司 |
高级工程师 |
|
王** |
兰洋(宁波)科技有限公司 |
联合创始人/COO |
|
吴** |
三河同飞制冷股份有限公司 |
智算中心事业部/南区销售总监 |
|
隋** |
浙江银轮机械股份有限公司 |
AI芯片液冷产品线线长 |
|
苏** |
东莞市硅翔绝缘材料有限公司 |
研究院实验室主任 |
|
/ |
东莞市硅翔绝缘材料有限公司 |
工程师 |
|
/ |
东莞市硅翔绝缘材料有限公司 |
工程师 |
|
陈** |
上海亚大汽车塑料制品有限公司 |
热管理工程师 |
|
张** |
台達電子工業股份有限公司 |
经理 |
|
许** |
台達電子工業股份有限公司 |
液冷系统事业部 专案经理 |
|
陈** |
苏州市东拓应用材料有限公司 |
总经理 |
|
王** |
东莞市铭能五金有限公司 |
总经理 |
|
李** |
东莞市铭能五金有限公司 |
业务 |
|
李** |
比特智算人工智能科技(深圳)有限公司 |
市场 |
|
满** |
3M(中国)有限公司 |
高级客户经理 |
|
蔡** |
东阳光 |
市场主管 |
|
谭** |
广东翊泽精密五金有限公司 |
业务经理 |
|
侯** |
合肥恒力装备有限公司 |
市场部经理 |
|
/ |
合肥恒力装备有限公司 |
业务 |
|
/ |
合肥恒力装备有限公司 |
业务 |
|
/ |
合肥恒力装备有限公司 |
技术 |
|
/ |
合肥恒力装备有限公司 |
业务 |
|
耿** |
合肥华清高科表面技术股份有限公司 |
副总经理/技术总监 |
|
彭** |
吉派液冷 |
销售总监 |
|
陈** |
江阴天奋科技有限公司 |
总经理 |
|
陈** |
江阴天奋科技有限公司 |
董事长 |
|
吴** |
久久精工 |
市场总监 |
|
傅** |
康瑞新材料科技(南通)有限公司 |
总经理 |
|
王** |
康瑞新材料科技(南通)有限公司 |
研发VP |
|
李** |
康瑞新材料科技(南通)有限公司 |
业务副总监 |
|
宋** |
昆山艾科迅真空装备有限公司 |
副总经理 |
|
庄** |
昆山艾科迅真空装备有限公司 |
产品经理 |
|
刘** |
昆山艾科迅真空装备有限公司 |
销售工程师 |
|
王** |
上海及瑞工业设计有限公司 |
总经理 |
|
蔡** |
绍兴盖诺超菱润滑材料有限公司 |
项目总监 |
|
陈** |
绍兴盖诺超菱润滑材料有限公司 |
总经理 |
|
刘** |
绍兴盖诺超菱润滑材料有限公司 |
液冷事业部总经理 |
|
王** |
绍兴盖诺超菱润滑材料有限公司 |
工程师 |
|
温** |
绍兴盖诺超菱润滑材料有限公司 |
工程师 |
|
童** |
深圳市富世达通讯有限公司 |
协理 |
|
韩** |
深圳市华阳新材料科技有限公司 |
总经理/3D打印专家 |
|
郑** |
深圳市华阳新材料科技有限公司 |
总经理助理兼市场部经理 |
|
钟** |
深圳智微通科技有限公司 |
研发主管 |
|
J** |
數碼創業有限公司 |
客戶經理 |
|
梁** |
苏州广林达电子科技有限公司 |
销售总监 |
|
王** |
苏州广林达电子科技有限公司 |
经理 |
|
叶** |
苏州广林达电子科技有限公司 |
半导体事业部总经理 |
|
林** |
友威科技(深圳)有限公司 |
经理 |
|
杜** |
珠海市晨辉科技有限公司 |
经理 |
|
c** |
苏州UL美华认证有限公司 |
marketing manager |
|
林** |
苏州UL美华认证有限公司 |
客户经理 |
|
邵** |
华中科技大学 |
教授/博导 |
|
安** |
殷实投资 |
市场 |
|
曹** |
奇宏电子(深圳)有限公司 |
总监 |
|
韩** |
广东龙丰精密铜管有限公司 |
技术经理 |
|
张** |
广东龙丰精密铜管有限公司 |
工程师 |
|
/ |
飞龙汽车部件股份有限公司 |
研究院副总 |
|
刘** |
飞龙汽车部件股份有限公司 |
MKT |
|
杨** |
广东达韦尔流体控制有限公司 |
总经理 |
|
黄** |
劳士领汽车配件(昆山)有限公司 |
主管 |
|
顾** |
三丰精密量仪(上海)有限公司 |
营业部次长 |
微信扫描下方的二维码阅读本文
- 热交换核心 :冷板(CPU/GPU专用)、CDU(冷量分配单元);
- 循环网络 :Manifold分液器、EPDM/PTFE管路、快接头;
- 动力与控制 :变频循环泵(如飞龙股份电子泵)、智能温控系统。


